Strona 2 - Table of contents; Uwagi iii
                                                                            ii Copyright © 2011 ASUSTeK COMPUTER INC. Wszelkie prawa zastrzeżone. Żadnej z części tego podręcznika, włącznie z opisem produktów i oprogramowania, nie można powielać, przenosić, przetwarzać, przechowywać w systemie odzyskiwania danych lub tłumaczyć na inne języki, w jakiejkolwiek formie lub w jak...
                                                                     
                                                                                            
                                    Strona 3 - Uwagi; Oświadczenie o zgodności z przepisami Federal
                                                                            iii Uwagi Oświadczenie o zgodności z przepisami Federal Communications Commission (Federalna Komisja Łączności) Urządzenie to jest zgodne z Częścią 15 przepisów FCC. Jego działanie wymaga spełnienia następujących dwóch warunków:• Urządzenie to nie może powodować żadnych szkodliwych zakłóceń i• Urząd...
                                                                     
                                                                                            
                                    Strona 4 - Oszczędzanie energii w monitorze; znajdują się w podręczniku użytkownika.
                                                                            iv Oszczędzanie energii w monitorze Monitor ASUS obsługuje tryb oszczędzania energii. Jeśli monitor nie wykrywa sygnału synchronizacji poziomej i/lub sygnału synchronizacji pionowej, przechodzi do trybu oszczędzania energii (oczekiwanie).Po przejściu monitora do trybu oszczędzania energii (oczekiwan...
                                                                     
                                                                                            
                                    Strona 5 - Informacje związane z bezpieczeństwem
                                                                            v Informacje związane z bezpieczeństwem • Przed wykonaniem ustawień monitora należy uważnie przeczytać całą, dostarczoną w opakowaniu dokumentację. • Aby zapobiec pożarowi lub porażeniu prądem elektrycznym, nigdy nie należy narażać monitora na działanie deszczu lub wilgoci. • Nigdy nie należy otwier...
                                                                     
                                                                                            
                                    Strona 6 - Dbanie i czyszczenie; Następujące objawy są normalne podczas działania monitora:; Konwencje stosowane w tym podręczniku
                                                                            vi Dbanie i czyszczenie • Przed zmianą pozycji monitora zaleca się odłączenie kabli i przewodu zasilającego. Podczas zmiany pozycji monitora należy stosować właściwe techniki podnoszenia. Podczas podnoszenia lub przenoszenia należy chwycić za krawędzie monitora. Nie należy podnosić wyświetlacza za p...
                                                                     
                                                                                            
                                    Strona 7 - Gdzie można znaleźć więcej informacji; Strony sieci web ASUS; Zawartość opakowania
                                                                            1-1 Monitor LED ASUS serii VH228 Gdzie można znaleźć więcej informacji W celu uzyskania dodatkowych informacji i aktualizacji produktu i oprogramowania, sprawdź następujące źródła. 1. Strony sieci web ASUS Ogólnoświatowe strony sieci web ASUS zapewniają zaktualizowane informacje o urządzeniach i pro...
                                                                     
                                                                                            
                                    Strona 8 - Montaż podstawy monitora; W celu montażu podstawy monitora:; Wprowadzenie do monitora; Przód monitora LED
                                                                            1-2 Rozdział 1: Wprowadzenie do produktu 1.3 Montaż podstawy monitora W celu montażu podstawy monitora: 1. Połącz podstawę z monitorem. Kliknięcie oznacza prawidłowe połączenie.2. Wyreguluj kąt nachylenia monitora, do najbardziej wygodnej pozycji. Zalecamy przykrycie powierzchni stołu miękkim materi...
                                                                     
                                                                                            
                                    Strona 9 - Stan
                                                                            1-3 Monitor LED ASUS serii VH228 1. Przycisk: • Automatyczna regulacja optymalnej pozycji obrazu, zegara i fazy, poprzez długie naciśnięcie tego przycisku na 2-4 sekundy (wyłącznie dla trybu VGA). • Użyj przycisku skrótu do przełączenia pomiędzy sześcioma wstępnie ustawionymi trybami video (Scenery ...
                                                                     
                                                                                            
                                    Strona 13 - Tył monitora LED; Otwory na śruby do
                                                                            1-7 Monitor LED ASUS serii VH228 1.4.2 Tył monitora LED 1.4.2.1 VH228H 1 Port AC-IN 2 Port HDMI-IN 3 Port DVI 4 Port VGA 5 Port liniowego wejścia audio 6 Wyjściowy port słuchawkowy 7 Port SPDIF Out dla HDMI 1.4.2.2 VH228T/N/S/D 1 Port AC-IN 2 Port liniowego wejścia audio (VH228T/N) 3 Port DVI (VH228...
                                                                     
                                                                                            
                                    Strona 14 - Odłączanie wspornika/podstawy; montażu ściennego VESA.
                                                                            2-1 Rozdział 2: Ustawienia 2.1 Odłączanie wspornika/podstawy (do montażu ściennego VESA) Odłączana podstawa monitora LED serii VH228 jest specjalnie zaprojektowana do montażu ściennego VESA. W celu odłączenia wspornika/podstawy: 1. Zdejmij pokrywę wspornika. 2. Ustaw monitor ekranem skierowanym w dó...
                                                                     
                                                                                            
                                    Strona 15 - Regulacja monitora; zmiany jego kąta nachylenia.
                                                                            2-2 Monitor LED ASUS serii VH228 2.2 Regulacja monitora • Dla uzyskania optymalnego widzenia, zaleca się, aby spojrzeć na pełny ekran monitora, a następnie wyregulować monitor pod najbardziej wygodnym kątem. • Przytrzymaj podstawę, aby zabezpieczyć monitor przed upadkiem podczas zmiany jego kąta nac...
                                                                     
                                                                                            
                                    Strona 16 - Jak wykonać ponowną konfigurację; Splendid
                                                                            3-1 Monitor LED ASUS serii VH228 3.1 Menu OSD (On-Screen Display [menu ekranowe]) 3.1.1 Jak wykonać ponowną konfigurację VH228 Splendid Color Image Input Select Move Menu Exit System Setup Scenery Mode Standard Mode Theater Mode Game Mode Night View Mode sRGB 1. Naciśnij przycisk MENU, aby uaktywnić...
                                                                     
                                                                                            
                                    Strona 17 - sRGB; ASCR; Smart View
                                                                            3-2 Rozdział 3: Ogólne instrukcje • Standard Mode (Tryb Standardowy) : Jest to najlepszy wybór do edycji dokumentów z technologią inteligentnego przetwarzania video SPLENDID™. • Theater Mode (Tryb Teatr) : Jest to najlepszy wybór do oglądania filmów z technologią inteligentnego przetwarzania video S...
                                                                     
                                                                                            
                                    Strona 18 - : Regulacja współczynnika; lub wyłączenia funkcji współczynnika kontrastu dynamicznego.; Wybór źródła wejścia spośród; VGA
                                                                            3-3 Monitor LED ASUS serii VH228 W trybie User Mode (Tryb Użytkownika), użytkownik może konfigurować kolory R (Czerwony), G (Zielony) i B (Niebieski); zakres regulacji wynosi 0 ~ 100. 3. Obraz Ta główna funkcja umożliwia regulację sharpness (wyostrzenia), aspect control (współczynnika kształtu), ASC...
                                                                     
                                                                                            
                                    Strona 19 - Ustawienia systemu
                                                                            3-4 Rozdział 3: Ogólne instrukcje 5. Ustawienia systemu Regulacja konfiguracji systemu. VH228 Splendid Color Image Input Select Move Menu Exit System Setup Language Information Splendid Demo Mode OFF OFF 50 English Volume ECO Mode OSD Setup 1/2 All Reset VH228 Splendid Color Image Input Select Move ...
                                                                     
                                                                                            
                                    Strona 20 - Specyfikacje; Model
                                                                            3-5 Monitor LED ASUS serii VH228 3.2 Specyfikacje Model VH228H VH228T VH228N VH228S VH228D Wielkość panela 21.5”W (54.7 cm) Maks. rozdzielczość 1920x1080 (Full HD) Jasność (typ.) 250 cd/m 2 Współczynnik kontrastu (typ.) 1000:1 Współczynnik dynamicznego kontrastu ASUS (ASCR) 50,000,000:1 Kąt widzenia...
                                                                     
                                                                                            
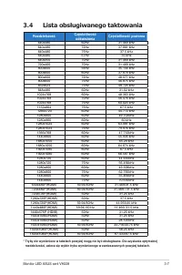
                                    Strona 22 - Lista obsługiwanego taktowania; Rozdzielczość
                                                                            3-7 Monitor LED ASUS serii VH228 3.4 Lista obsługiwanego taktowania Rozdzielczość Częstotliwość odświeżania Częstotliwość pozioma 640x480 60Hz 31.469 kHz 640x480 72Hz 37.861 kHz 640x480 75Hz 37.5 kHz 640x480 67Hz 35 kHz 640x350 70Hz 31.469 kHz 720x400 70Hz 31.469 kHz 800x600 56Hz 35.156 kHz 800x600 ...